2020年以来,厦门大学人文学院历史系朱展云副教授团队围绕文物保护领域的基础科学和关键技术问题,在国际核心期刊发表了一系列研究成果。
研究成果一:朱展云课题组与陕西历史博物馆、西北工业大学等单位合作,通过响应曲面法对GuHCl提取壁画中胶原类胶黏剂的技术参数进行优化研究,揭示GuHCl浓度、提取时间、温度、超声功率等工艺条件对蛋白提取效率的影响规律,确定效率最高且对蛋白结构无显著影响的技术参数组合,为最大程度地提取文物中含量极低、降解严重的胶黏剂残留物提供有效的技术手段。上述研究成果以“Optimization of GuHCl extraction protocol on collagen-based binders in murals by response surface methodology”为题,2022年6月18日发表在Journal of Cultural Heritage第56卷。论文第一单位是厦门大学,主要完成人为朱展云副教授(第一作者)、西北工业大学博士生杜江昊、陕西历史博物馆路智勇研究员等。

论文链接:https://doi.org/10.1016/j.culher.2022.06.003
研究成果二:朱展云课题组与陕西师范大学、山东大学等单位合作,采用多种互补的无损和微损分析技术,对西安大兴善寺收藏的“二十一度母”唐卡进行综合科学分析,应用蛋白质组学首次实现唐卡所用胶黏剂生物来源精细鉴定,并提供首例麻织物基体唐卡的科学证据,充分揭示了这批唐卡制作材料与工艺,不仅为珍贵唐卡的保护修复提供了重要支撑,也为研究唐卡的工艺内涵、传承交流提供了新的科学证据。上述研究成果以“Multi-analytical study on the Tara thangka at Daxingshan Temple in Xi'an, Shaanxi, China”为题,2022年6月16日在Studies in Conservation在线发表。论文第一单位是厦门大学,主要完成人为朱展云副教授(第一作者)、厦门大学2020级硕士生王佳、陕西师范大学曹静副教授(通讯作者)、山东大学马清林教授等。


论文链接:https://doi.org/10.1080/00393630.2022.2084809
研究成果三:朱展云课题组通过文献计量和知识图谱分析相结合的方法,对2011-2021年国际壁画科学分析领域的研究动态和发展趋势进行可视化分析,揭示了本领域的作者、机构、国家、期刊等相互作用网络,阐明了壁画科学分析领域的发展动态和重点研究方向,并提出了未来的发展趋势。上述研究成果以“Visualization and mapping of literature on the scientific analysis of wall paintings: a bibliometric analysis from 2011 to 2021”为题,2022年7月7日发表在Heritage Science第10卷。论文第一单位是厦门大学,主要完成人为朱展云副教授(第一作者)、厦门大学2020级硕士生姚秀雅等。

论文链接:https://doi.org/10.1186/s40494-022-00735-0
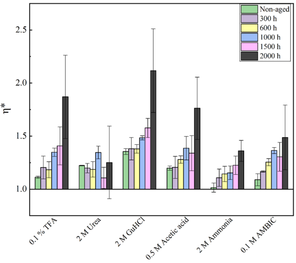
研究成果四:朱展云课题组与西北工业大学合作,针对壁画中胶原类胶黏剂的提取方法进行比较研究,使用多因素方差分析对提取效率指标进行统计学处理,采用凝胶电泳、紫外吸收光谱、圆二色谱等方法表征提取过程对蛋白结构的影响,并探讨不同提取剂作用效果差异的原因,为古代胶黏剂残留物的精细鉴定提供技术支持。上述研究成果以“A comparative study on the extraction effects of common agents on collagen-based binders in mural paintings”为题,2021年4月23日发表在Heritage Science第9卷。论文第一通讯单位是厦门大学,主要完成人为朱展云副教授(通讯作者)、西北工业大学博士生杜江昊(第一作者)、厦门大学杨军昌讲座教授(通讯作者)等。



论文链接:https://doi.org/10.1186/s40494-021-00519-y
研究成果五:朱展云课题组与陕西省考古研究院、西北工业大学等单位合作,利用蛋白质组学从西安金代李居柔墓出土陶罐内部“圆饼状遗存”中成功鉴定出大麦、大豆及五种发酵微生物的特异性蛋白,结合淀粉粒分析结果,证明其为加入酱油的大麦发酵饼,从分子层面实现炭化食物残留物的精细鉴定,为研究金代饮食文化、资源利用与环境适应等重要问题提供新的科学证据。上述研究成果以“Accurate identification of the pastry contained in the ceramic pot excavated from Jurou Li’s Grave from the Jin Dynasty (1115-1234 CE) in Xi’an, Shaanxi, China”为题,2020年2月发表在Archaeometry第62卷。论文主要完成人为朱展云副教授(第一及通讯作者)、陕西省考古研究院于春雷副研究员、厦门大学杨军昌讲座教授等。

论文链接:https://doi.org/10.1111/arcm.12490
研究成果六:朱展云课题组与成都文物考古研究院、西北工业大学等单位合作,针对成都蒲江飞虎村战国船棺葬墓群出土铜鍪开展科学研究,阐明了其制作材料、工艺与锈蚀特征,并对青铜回收利用等问题进行了探讨,指导这批战国青铜器的科学保护修复,同时也为这一时期青铜制造水平比较、巴蜀地区与周边区域的文化互动等相关研究提供科学证据。上述研究成果以“Metallurgical and corrosion characterization of warring states period bronzes excavated from Pujiang, Chengdu, China”为题,2022年3月24日发表在Heritage Science第10卷。论文第一通讯单位是厦门大学,主要完成人为朱展云副教授(通讯作者)、成都文物考古研究院肖嶙研究馆员、厦门大学杨军昌讲座教授(通讯作者)等。



论文链接:https://doi.org/10.1186/s40494-022-00674-w
以上四种期刊为文物保护和考古等领域的国际核心期刊,被A&HCI和SCI双索引收录。根据Scopus CiteScore的最新排名,Journal of Cultural Heritage在“文物保护”类的96种期刊中排名第1位,在“考古”类的335种期刊中排名第5位;Heritage Science在“文物保护”类的96种期刊中排名第5位,在“考古”类的335种期刊中排名第23位;Studies in Conservation在“文物保护”类的96种期刊中排名第11位;Archaeometry在“历史”类的1499种期刊中排名第19位。
该团队的上述研究获得了德国洪堡学者计划、国家社会科学基金、国家自然科学基金、教育部人文社会科学研究项目、馆藏壁画保护修复与材料科学研究国家文物局重点科研基地开放课题、山东大学环境与社会考古国际合作联合实验室开放课题、陕西省自然科学基础研究计划、中国博士后科学基金(特别、面上资助)、陕西省博士后科研资助项目、厦门大学南强青年拔尖人才支持计划、中央高校基本科研业务费、国家级大学生创新创业训练计划等的支持。
(人文学院历史系)